SOLUTION: (8x^-3y^5)^-2

Algebra ->  Expressions-with-variables -> SOLUTION: (8x^-3y^5)^-2      Log On


   



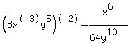
Question 1029887: (8x^-3y^5)^-2
Found 2 solutions by Boreal, Fombitz:
Answer by Boreal(15235) About Me  (Show Source):
You can put this solution on YOUR website!
(8x^-3y^5)^-2
you multiply exponents when they are raised to a power.
a^3*a^2=a^5 (add(
(a^3)^2=a^6 (multiply)
This is (x^6)/64y^10
The 8^-2 must be accounted for, and that is 1/8^2
move an exponent across the fraction line, and the sign changes.

Answer by Fombitz(32388) About Me  (Show Source):