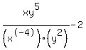
SOLUTION: Can you help me simplify without negative exponents [ x y 5 / x -4 y 2 ] -2
Algebra
->
Expressions-with-variables
-> SOLUTION: Can you help me simplify without negative exponents [ x y 5 / x -4 y 2 ] -2
Log On
Algebra: Expressions involving variables, substitution
Section
Solvers
Solvers
Lessons
Lessons
Answers archive
Answers
Click here to see ALL problems on Expressions-with-variables
Question 102077
:
Can you help me simplify without negative exponents [ x y 5 / x -4 y 2 ] -2
Answer by
elima(1433)
(
Show Source
):
You can
put this solution on YOUR website!
A negative exponent puts the variable in the numerator, so the x^4 will be added to the x in the numerator, and the y^2 you subtract the exponent from the y^5 in the numerator;
:)