SOLUTION: Can you help me divide and simplify: 18x^2+17+4/8x-12 divided by 9x^2+4x/24x-36

Algebra ->  Expressions-with-variables -> SOLUTION: Can you help me divide and simplify: 18x^2+17+4/8x-12 divided by 9x^2+4x/24x-36      Log On


   



Question 101974: Can you help me divide and simplify:

18x^2+17+4/8x-12 divided by 9x^2+4x/24x-36

Answer by jim_thompson5910(35256) About Me  (Show Source):
You can put this solution on YOUR website!

%28%2818x%5E2%2B17x%2B4%29%2F%288x-12%29%29%2F%28%289x%5E2%2B4x%29%2F%2824x-36%29%29 Start with the given expression


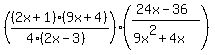
%28%2818x%5E2%2B17x%2B4%29%2F%288x-12%29%29%2A%28%2824x-36%29%2F%289x%5E2%2B4x%29%29 Multiply the first fraction by the reciprocal of the second fraction


%28%282x%2B1%29%289x%2B4%29%2F%288x-12%29%29%2A%28%2824x-36%29%2F%289x%5E2%2B4x%29%29 Factor 18x%5E2%2B17x%2B4 to get %282x%2B1%29%289x%2B4%29



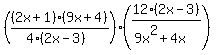
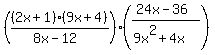
%28%282x%2B1%29%289x%2B4%29%2F%284%282x-3%29%29%29%2A%28%2824x-36%29%2F%289x%5E2%2B4x%29%29 Factor 8x-12 to get 4%282x-3%29



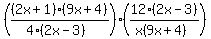
%28%282x%2B1%29%289x%2B4%29%2F%284%282x-3%29%29%29%2A%2812%282x-3%29%2F%289x%5E2%2B4x%29%29 Factor 24x-36 to get 12%282x-3%29



Factor 9x%5E2%2B4x to get x%289x%2B4%29



Cancel like terms



%28%282x%2B1%29%2F4%29%2A%2812%2Fx%29 Simplify



12%282x%2B1%29%2F4x Multiply the fractions



3%282x%2B1%29%2Fx Divide 12 and 4 to get 3


%286x%2B3%29%2Fx Distribute



So %28%2818x%5E2%2B17x%2B4%29%2F%288x-12%29%29%2F%28%289x%5E2%2B4x%29%2F%2824x-36%29%29 simplifies to %286x%2B3%29%2Fx