SOLUTION: 3x - 2 y = -16 I am trying to convert the standard form of a line to slope intercept form. My first two steps are to isolate the y term on one side of the equal sign step 2: d

Algebra ->  Expressions-with-variables -> SOLUTION: 3x - 2 y = -16 I am trying to convert the standard form of a line to slope intercept form. My first two steps are to isolate the y term on one side of the equal sign step 2: d      Log On


   



Question 1013353: 3x - 2 y = -16
I am trying to convert the standard form of a line to slope intercept form.
My first two steps are to isolate the y term on one side of the equal sign
step 2: divide the entire problem by B
i would really need your help please and thank you for tutoring me my family dosen't have enough money to pay for a real tutor and I would like to give you a huge thanks!

Found 2 solutions by josgarithmetic, MathTherapy:
Answer by josgarithmetic(39621) About Me  (Show Source):
You can put this solution on YOUR website!
You almost have what to do. You have a choice of using your equation directly, or using the generalized abstract standard form, Ax+By=C. Either way, you know what to do, so just DO WHAT YOU KNOW! YOUR ALGEBRA WILL WORK!!!

BIG HINT: The answer is y=%283%2F2%29x%2B8.

Answer by MathTherapy(10555) About Me  (Show Source):
You can put this solution on YOUR website!

3x - 2 y = -16
I am trying to convert the standard form of a line to slope intercept form.
My first two steps are to isolate the y term on one side of the equal sign
step 2: divide the entire problem by B
i would really need your help please and thank you for tutoring me my family dosen't have enough money to pay for a real tutor and I would like to give you a huge thanks!
3x - 2y = - 16
3x = 2y - 16 ------ Adding 2y to both sides
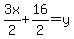
3x + 16 = 2y ------ Adding 16 to both sides
3x%2F2+%2B+16%2F2+=+y ------- Dividing EACH expression by 2 in order to ISOLATE y
highlight_green%28y+=+%283%2F2%29x+%2B+8%29