SOLUTION: Two buses left town A for town B at the same time. The speed of one of the buses was 10 mph greater than the speed of the other bus. In 3 (1/2) hours one bus reached town B, while

Algebra ->  Expressions-with-variables -> SOLUTION: Two buses left town A for town B at the same time. The speed of one of the buses was 10 mph greater than the speed of the other bus. In 3 (1/2) hours one bus reached town B, while      Log On


   



Question 1011247: Two buses left town A for town B at the same time. The speed of one of the buses was 10 mph greater than the speed of the other bus. In 3 (1/2) hours one bus reached town B, while the other bus was away from town B at a distance equal (1/6) of the distance between A and B. Find the speed of the buses and the distance between A and B.
Answer:

Answer by josgarithmetic(39630) About Me  (Show Source):
You can put this solution on YOUR website!
Uniform Rates for Travel works as RT=D to relate rate, time, and distance.
              speed      time      distance

one bus        r+10      3%261%2F2       d

other bus      r         3%261%2F2      %285%2F6%29d

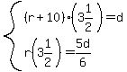
Solve the system for r and d:
system%28%28r%2B10%29%283%261%2F2%29=d%2Cr%283%261%2F2%29=5d%2F6%29



Do you have other exercises JUST LIKE this one?
              speed      time      distance

one bus        r+k      t       d

other bus      r         t      %281-m%2Fn%29d

m%2Fn is the fraction of the distance from destination for "other bus".