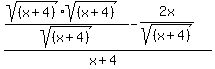
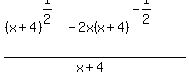
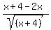
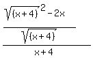
SOLUTION: ((X+4)^1/2 - 2x(x+4)^-1/2)/(x+4) Please write the expression as a single quotient
Algebra
->
Exponents
-> SOLUTION: ((X+4)^1/2 - 2x(x+4)^-1/2)/(x+4) Please write the expression as a single quotient
Log On
Algebra: Exponents and operations on exponents
Section
Solvers
Solvers
Lessons
Lessons
Answers archive
Answers
Click here to see ALL problems on Exponents
Question 999455
:
((X+4)^1/2 - 2x(x+4)^-1/2)/(x+4)
Please write the expression as a single quotient
Answer by
MathLover1(20850)
(
Show Source
):
You can
put this solution on YOUR website!