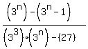
SOLUTION: Please what is the simplest form of{(3^n)-(3^n-1)}\{(3^3)*(3^n)-(27)}
Algebra
->
Exponents
-> SOLUTION: Please what is the simplest form of{(3^n)-(3^n-1)}\{(3^3)*(3^n)-(27)}
Log On
Algebra: Exponents and operations on exponents
Section
Solvers
Solvers
Lessons
Lessons
Answers archive
Answers
Click here to see ALL problems on Exponents
Question 998931
:
Please what is the simplest form of{(3^n)-(3^n-1)}\{(3^3)*(3^n)-(27)}
Answer by
MathLover1(20850)
(
Show Source
):
You can
put this solution on YOUR website!
=
=
=