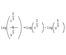
SOLUTION: {{{log a cube rt (x^2/y^5)}}}
Algebra
->
Exponents
-> SOLUTION: {{{log a cube rt (x^2/y^5)}}}
Log On
Algebra: Exponents and operations on exponents
Section
Solvers
Solvers
Lessons
Lessons
Answers archive
Answers
Click here to see ALL problems on Exponents
Question 964118
:
Answer by
Fombitz(32388)
(
Show Source
):
You can
put this solution on YOUR website!