SOLUTION: Solve using exponent laws:
a) 9^4x-1=27(81^x-1)
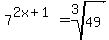
b) 7^2x+1= index of 3radical sign with 49 inside of it
thanks :) Have been trying to solve these all night :)
Algebra ->
Exponents
-> SOLUTION: Solve using exponent laws:
a) 9^4x-1=27(81^x-1)
b) 7^2x+1= index of 3radical sign with 49 inside of it
thanks :) Have been trying to solve these all night :)
Log On
Question 924766: Solve using exponent laws:
a) 9^4x-1=27(81^x-1)
b) 7^2x+1= index of 3radical sign with 49 inside of it
thanks :) Have been trying to solve these all night :) Answer by Alan3354(69443) (Show Source):
You can put this solution on YOUR website! Solve using exponent laws:
a) 9^4x-1=27(81^x-1)
If the exponent of 9 is 4x-1, and the exponent of 81 is x-1:
9 = 3^2
27 = 3^3
-->
8x-2 = 4x-1
4x = 1
x = 1/4
==================
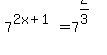
b) 7^2x+1= index of 3radical sign with 49 inside of it
If you mean:
2x+1 = 2/3
x = -1/6
===================
Put parentheses around the exponents to eliminate ambiguity. They're free.