SOLUTION: i have this question but i dont know how to solve it can you help me? the question say:For all x>0 and y>0, the radical expresion square root of x/ 3square root of x - square root

Algebra ->  Exponents -> SOLUTION: i have this question but i dont know how to solve it can you help me? the question say:For all x>0 and y>0, the radical expresion square root of x/ 3square root of x - square root      Log On


   



Question 88878: i have this question but i dont know how to solve it can you help me?
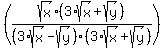
the question say:For all x>0 and y>0, the radical expresion square root of x/ 3square root of x - square root of y i equivalent to: and i have options
a) 3x- square root of xy/ 9x +y
b) 3x- square root of xy/ 3x +y
c) 3x -square root of xy/ 9x -y
help me plizzz!!!

Answer by jim_thompson5910(35256) About Me  (Show Source):
You can put this solution on YOUR website!
sqrt%28x%29%2F+%283%2Asqrt%28x%29+-+sqrt%28y%29%29

Multiply the fraction by %28%283%2Asqrt%28x%29+%2B+sqrt%28y%29%29%2F%283%2Asqrt%28x%29+%2B+sqrt%28y%29%29%29



Distribute

%283%2Ax+%2B+sqrt%28x%29%2Asqrt%28y%29%29%2F+%289x-y%29 Multiply

FOIL the denominator


%283x+%2B+sqrt%28x%29%2Asqrt%28y%29%29%2F+%289x-y%29 Combine like terms

%283x+%2B+sqrt%28xy%29%29%2F+%289x-y%29 Combine the square roots





So the answer is %283%2Ax+%2B+sqrt%28xy%29%29%2F+%289x-y%29 note: this is just like your last choice, but it has 3x minus the square root instead of 3x plus the square root, so check your choices again.