SOLUTION: I'm having trouble with this question: it must be simplified and containing only positive exponents with no fractional exponents in the denominator. x^-1/3 / y^-4/3 * (xy^1/2)^

Algebra ->  Exponents -> SOLUTION: I'm having trouble with this question: it must be simplified and containing only positive exponents with no fractional exponents in the denominator. x^-1/3 / y^-4/3 * (xy^1/2)^      Log On


   



Question 863584: I'm having trouble with this question:
it must be simplified and containing only positive exponents with no fractional exponents in the denominator.
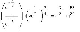
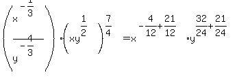
x^-1/3 / y^-4/3 * (xy^1/2)^7/4
thank you.

Answer by Fombitz(32388) About Me  (Show Source):