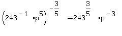
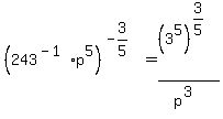
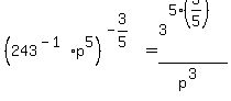
SOLUTION: (243^-1p^5)^-3/5. Could someone please show me how to do this so I can teach my son.

Algebra ->  Exponents -> SOLUTION: (243^-1p^5)^-3/5. Could someone please show me how to do this so I can teach my son.      Log On


   



Question 841998: (243^-1p^5)^-3/5. Could someone please show me how to do this so I can teach my son.
Answer by Fombitz(32388) About Me  (Show Source):