SOLUTION: I just can't figure out this homework problem. Here it is The numerator is the following (2.7π(2.5x10^4)^3) The denominator is 5^ -3 and the entire formula is in brac

Algebra ->  Exponents -> SOLUTION: I just can't figure out this homework problem. Here it is The numerator is the following (2.7π(2.5x10^4)^3) The denominator is 5^ -3 and the entire formula is in brac      Log On


   



Question 748834: I just can't figure out this homework problem. Here it is
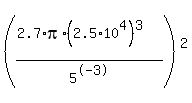
The numerator is the following (2.7π(2.5x10^4)^3) The denominator is 5^ -3 and the entire formula is in brackets to the power of 2
I'm going to write it in words because the preview looks a little off.
The numerator is (2.7 times Pi(2.5 times ten to the 4th)3rd power) The denominator is 5 to the negative 3rd power. The entire fraction is squared
I keep coming up with "in scientific notation" 2.8x10^30 and the answer should be 2.7x10^32
Thanks for any help

Answer by MathLover1(20850) About Me  (Show Source):
You can put this solution on YOUR website!
%28%282.7%2Api%2A%282.5%2A10%5E4%29%5E3%29%2F5%5E-3%29%5E2

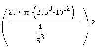
%28%282.7%2Api%2A%282.5%5E3%2A10%5E12%29%29%2F%281%2F5%5E3%29%29%5E2

%28%282.7%2A3.14%2A%2815.625%2A10%5E12%29%29%2F%281%2F5%5E3%29%29%5E2

%285%5E3%282.7%2A3.14%2A%2815.625%2A10%5E12%29%29%2F1%29%5E2

%28125%288.478%2A%2815.625%2A10%5E12%29%29%29%5E2%2F1

%2816558.6%2A10%5E12%29%29%29%5E2

274187233.96%2A10%5E24............274187233.96=2.7418723396%2A10%5E8

2.7418723396%2A10%5E8%2A10%5E24

2.7%2A10%5E32
so, your solution is correct