SOLUTION: Express using a single radical, 16^(1/8)
Algebra
->
Exponents
-> SOLUTION: Express using a single radical, 16^(1/8)
Log On
Algebra: Exponents and operations on exponents
Section
Solvers
Solvers
Lessons
Lessons
Answers archive
Answers
Click here to see ALL problems on Exponents
Question 746425
:
Express using a single radical, 16^(1/8)
Found 2 solutions by
stanbon, josgarithmetic
:
Answer by
stanbon(75887)
(
Show Source
):
You can
put this solution on YOUR website!
Express using a single radical, 16^(1/8)
--------
8th root of 16
=================
Cheers,
Stan H.
===============
Answer by
josgarithmetic(39620)
(
Show Source
):
You can
put this solution on YOUR website!
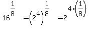
=
=