SOLUTION: M to the fourth times two m to the negative third
Algebra
->
Exponents
-> SOLUTION: M to the fourth times two m to the negative third
Log On
Algebra: Exponents and operations on exponents
Section
Solvers
Solvers
Lessons
Lessons
Answers archive
Answers
Click here to see ALL problems on Exponents
Question 680037
:
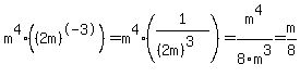
M to the fourth times two m to the negative third
Answer by
ReadingBoosters(3246)
(
Show Source
):
You can
put this solution on YOUR website!
or if you meant
..............................
Delighted to help; feel free to email directly at HomeworkHelpers@ReadingBoosters.com.
-Reading Boosters
Website: www.MyHomeworkAnswers.com