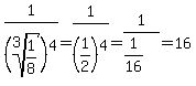
SOLUTION: 1/8^-4/3
Algebra
->
Exponents
-> SOLUTION: 1/8^-4/3
Log On
Algebra: Exponents and operations on exponents
Section
Solvers
Solvers
Lessons
Lessons
Answers archive
Answers
Click here to see ALL problems on Exponents
Question 627243
:
1/8^-4/3
Answer by
ewatrrr(24785)
(
Show Source
):
You can
put this solution on YOUR website!
Hi,
1/8^(-4/3) =