SOLUTION: Hi, Can you please show me the steps needed to solve this? ((3^-2)^a).((3^b)^-2a) ----------- ---------- ((3^-2)^b).((9^-b)^3a) three to the negative two to the a times th

Algebra ->  Exponents -> SOLUTION: Hi, Can you please show me the steps needed to solve this? ((3^-2)^a).((3^b)^-2a) ----------- ---------- ((3^-2)^b).((9^-b)^3a) three to the negative two to the a times th      Log On


   



Question 62417: Hi,
Can you please show me the steps needed to solve this?
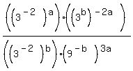
((3^-2)^a).((3^b)^-2a)
----------------------
((3^-2)^b).((9^-b)^3a)
three to the negative two to the a times three to the b to the negative two a
divided by
three to the negative two to the b times nine to the negative b to the three a
Thanks in advance!!
Ray

Found 2 solutions by Edwin McCravy, funmath:
Answer by Edwin McCravy(20060) About Me  (Show Source):
You can put this solution on YOUR website!
Hi,
Can you please show me the steps needed to solve this?

((3^-2)^a).((3^b)^(-2a))
----------------------
((3^-2)^b).((9^-b)^(3a))

three to the negative two to the a times three to the
b to the negative two a divided by
three to the negative two to the b times nine to the 
negative b to the three a

Thanks in advance!!

Ray

 (3-2)a(3b)-2a
---------------
 (3-2)b(9-b)3a

First multiply the outer exponents by the inner 
exponents to remove the parentheses:

 3-2a3-2ab
-----------
 3-2b9-3ab

Rewrite the 9 as (32)

   3-2a3-2ab
--------------
 3-2b(32)-3ab

Remove the parentheses by multiplying the outer 
exponent -3ab by the inner exponent 2, getting
-6ab:

 3-2a3-2ab
-----------
 3-2b3-6ab

Get rid of each negative exponent by using the 
rules:

1. To get rid of a negative exponent in the 
   numerator, move the base and exponent from 
   the numerator to the denominator and
   change the sign of the exponent to positive.

2. To get rid of a negative exponent in the 
   denominator, move the base and exponent from 
   the denominator to the numerator and
   change the sign of the exponent to positive.

So move the 3-2a from the top to the bottom as 32a,
move the 3-2ab from the top to the bottom as 32ab,
move the 3-2b from the bottom to the top as 32b, and
move the 3-6ab from the bottom to the top as 36ab


 32b36ab
---------
 32a32ab

Now on the top we add the exponents of 3, which 
are 2b and 6ab, getting 2b+6ab 

On the bottom we also add the exponents of 3, 
which are 2a and 2ab, getting 2a+2ab

 32b+6ab
--------- 
 32a+2ab

Finally we subtract exponents (2b+6ab)-(2a+2ab)

3(2a+6ab)-(2a+2ab)

32b+6ab-2a-2ab

32b-2a+4ab

or if you like, factor out
2 in the exponent:

32(b-a+2ab)

Edwin




Answer by funmath(2933) About Me  (Show Source):
You can put this solution on YOUR website!
Hi Ray,




%283%5E%28-2a%2B%28-2ab%29%29%29%2F%283%5E%28-2b%2B%28-6ab%29%29%29
%283%5E%28-2a-2ab%29%29%2F%283%5E%28-2b-6ab%29%29
%283%5E%28-2a-2ab%29%29%2F%283%5E%28-2b-6ab%29%29
3%5E%28%28-2a-2ab%29-%28-2b-6ab%29%29
3%5E%28%28-2a-2ab%29-%28-2b-6ab%29%29
3%5E%28-2a-2ab%2B2b%2B6ab%29
3%5E%28-2a%2B4ab%2B2b%29
Happy Calculating!!!