SOLUTION: Help please - I need this layed out so I can do it for my final submission - Thank you. (4x^3y)1/2 (in superscript) over (9xy) 1/2 superscript The question is - perform the o

Algebra ->  Exponents -> SOLUTION: Help please - I need this layed out so I can do it for my final submission - Thank you. (4x^3y)1/2 (in superscript) over (9xy) 1/2 superscript The question is - perform the o      Log On


   



Question 60975This question is from textbook Intermediate Algebra
: Help please - I need this layed out so I can do it for my final submission - Thank you.
(4x^3y)1/2 (in superscript) over (9xy) 1/2 superscript
The question is - perform the operation. Write the answers without negative exponents. Assume that all variables represent positive numbers. THANK YOU
This question is from textbook Intermediate Algebra

Answer by funmath(2933) About Me  (Show Source):
You can put this solution on YOUR website!
%284x%5E3y%29%5E%281%2F2%29%2F%28%289xy%29%5E%281%2F2%29%29
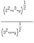
%282%5E2%2Ax%5E3%2Ay%29%5E%281%2F2%29%2F%28%283%5E2%2Ax%2Ay%29%5E%281%2F2%29%29
%28%282%5E2%2Ax%5E3%2Ay%29%2F%283%5E2%2Ax%2Ay%29%29%5E%281%2F2%29
%282%5E2%2Ax%5E%283-1%29%2Across%28y%29%2F%283%5E2%2Across%28y%29%29%29%5E%281%2F2%29
%282%5E2%2Ax%5E2%2F3%5E2%29%5E%281%2F2%29
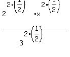
2%5E%282%2A%281%2F2%29%29%2Ax%5E%282%281%2F2%29%29%2F3%5E%282%281%2F2%29%29
2%5E%282%2F2%29%2Ax%5E%282%2F2%29%2F3%5E%282%2F2%29
2%5E1%2Ax%5E1%2F3%5E1
highlight%282x%2F3%29
Happy Calculating!!!