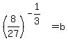
Question 608911: How do I solve?
8 over 27 = b exponent -3
Answer by jsmallt9(3758) (Show Source):
You can put this solution on YOUR website! 
It can be very helpful to keep your eye on your goal. Here we want to solve for b. This means that ultimately we want an equation that looks like
b = ....
or
.... = b
So if you look at the equation you were given, then you should be able to figure out that you can get a solution if you can find a way to get rid of that exponent of -3 on the b. We know what needs to be done. now we just have to figure out how.
One way to get rid of the -3 is based on the following ideas:- Everything has an exponent. If you don't see an exponent, then its exponent is a 1. So we are not really getting rid of the exponent of -3, we are just changing it from -3 to 1.
- The various rules for exponents tell us how exponents can be changed.
- If you do something to one side of an equation you must so the same thing on the other side.
So how do we change an exponent of -3 to a 1? One thought might be: Find a way to add 4 to the exponent. Well, out rules for exponents tell us that adding exponents happens when you multiply expressions with the same base. So we would have to multiply both sides of the equation by :

One the right side we get what we wanted, "b":

But now we have b's one both sides of the equation. By multiplying by we have actually taken a step backwards!?
How else can be change the -3 to a 1? Well multiplying reciprocals always results in a 1. Our rules for exponents tell us that multiplying exponents happens when you raise a power to a power. So we will raise both sides of the equation to the reciprocal of -3 power. The reciprocal of -3 is -1/3:

Again, we get the "b" we want on the right side:

This time there is no b's of the left side! Now we just have to simplify the left side.
If you have trouble with negative and/or fractional exponents, I find that factoring the exponent is a special way can be helpful:- If the exponent is negative, then factor out -1.
- If the exponent is fraction and the fraction has a numerator that is not a 1, then factor out the numerator. For example, if the exponent was
, then factor out the 3:  Our exponent is negative so we will factor out a -1:

Our exponent has a fraction. But its numerator is a 1 so we are finished factoring the exponent. Now if we look at the factor os the exponent we can see what operations are going to be done:- The -1 factor of the exponent tells us that we will find a reciprocal.
- The 1/3 factor of the exponent tells us that a cube root will be done.
And it does not matter which operation is done first! So choose whatever order you think would be easiest. What seems easier? A reciprocal of 8/27 or a cube root of 8/27? Reciprocals of fractions are pretty easy so we'll start with that:

Note how I remove the factor when its operation has been done. Now we just have to do a cube root. Fortunately both 8 and 27 are perfect cubes: and . So we end up with:
|
|
|