Question 603719: 5^5/5^4=
Answer by KMST(5328) (Show Source):
You can put this solution on YOUR website! By definition,

and you know in multiplication of fractions and integers that
, so

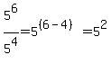
In the same way, whenever you are dividing powers of the same base number, you end up with exponents that are differences of the exponents
and the that we found can be written as 
sometimes expressed as 
IMPORTANT NOTE:
When you cannot write a long horizontal fraction line, you have to write some parentheses.
The horizontal fraction bar includes invisible brackets enclosing the expressions above and below, so
= (5*5*5*5*5)/(5*5*5*5)
In this case, you could skip the first set of brackets because
5*5*5*5*5/(5*5*5*5)= (5*5*5*5*5)/(5*5*5*5)=
However, according to rules of order of operation, doing multiplications and divisions from left to right,
5*5*5*5*5/5*5*5*5 means
|
|
|