SOLUTION: 5/y = -20 Y=
Algebra
->
Exponents
-> SOLUTION: 5/y = -20 Y=
Log On
Algebra: Exponents and operations on exponents
Section
Solvers
Solvers
Lessons
Lessons
Answers archive
Answers
Click here to see ALL problems on Exponents
Question 5702
:
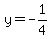
5/y = -20
Y=
Answer by
prince_abubu(198)
(
Show Source
):
You can
put this solution on YOUR website!
It would probably help if it was written as a proportion:
<---- remember that there is always that "divided by 1"
<---- We cross multiplied.
<--- Solution after reducing to lowest terms.