SOLUTION: simplify (m^-4)^-5
Algebra
->
Exponents
-> SOLUTION: simplify (m^-4)^-5
Log On
Algebra: Exponents and operations on exponents
Section
Solvers
Solvers
Lessons
Lessons
Answers archive
Answers
Click here to see ALL problems on Exponents
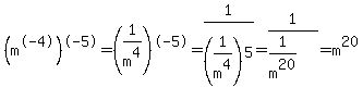
Question 474747
:
simplify
(m^-4)^-5
Answer by
MathLover1(20850)
(
Show Source
):
You can
put this solution on YOUR website!