SOLUTION: What is 4 times 3 over 2 to the negative first power?

Algebra ->  Exponents -> SOLUTION: What is 4 times 3 over 2 to the negative first power?      Log On


   



Question 394440: What is 4 times 3 over 2 to the negative first power?
Answer by jim_thompson5910(35256) About Me  (Show Source):
You can put this solution on YOUR website!
%284%2A3%2F2%29%5E%28-1%29=%2812%2F2%29%5E%28-1%29=6%5E%28-1%29=1%2F6


or


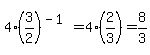
4%2A%283%2F2%29%5E%28-1%29=4%282%2F3%29=8%2F3



or


%284%2A3%29%2F2%5E%28-1%29=12%2F%281%2F2%29=12%2A2=24


The answer will depend on which expression is the correct one (since you didn't specify the order).


If you need more help, email me at jim_thompson5910@hotmail.com

Also, feel free to check out my tutoring website

Jim