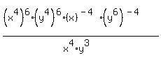
I assume that the -4 is supposed to be an exponent because otherwise the expression cannot be simplified any more than it already is.
To simplify we use the order of operations (aka PEMDAS). So we start inside the parentheses. But the expressions within the parentheses cannot be simplified any further. Next is exponents. To raise a single term expression in parentheses to a power we use a property of exponents: . IOW we raise each individual factor to that power:
The rule for raising powers to powers is to multiply the exponents. This gives us:
We can multiply out the numerator by using the rule for multiplying with exponents: Add the exponents.
which gives us:
Now to divide we use that rule: Subtract the exponents.
which simplifies to:
If you don't want negative exponents, then we use the property :
which simplifies to: