SOLUTION: Simplify: (-8)^-4/3

Algebra ->  Exponents -> SOLUTION: Simplify: (-8)^-4/3      Log On


   



Question 385295: Simplify: (-8)^-4/3
Answer by jsmallt9(3758) About Me  (Show Source):
You can put this solution on YOUR website!
%28-8%29%5E%28-4%2F3%29
If you have trouble with negative and/or fractional exponents, I find it helpful if you factor the exponent in a certain way:
  • If the exponent is negative, factor out a -1.
  • If the exponent is a fraction and the numerator is not a 1, factor out the numerator. (You'll undetsand this better shortly.)

Factoring your exponent this way we get:
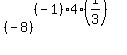
%28-8%29%5E%28%28-1%29%2A4%2A%281%2F3%29%29
Looking at the exponent's factors we see:
  • A -1 which tells us that we will find a reciprocal.
  • A 4 which tells us that we will be raising to the 4th power.
  • A 1/3 which tells us that we will be finding a cube root.

And since multiplication is Commutative, we can do these three things in any order we choose! So we can shoose to do these things in the order that makes it easiest. (Note: What is easy for me is not necessarily easy for you. But don't worry. No matter what order you choose your answer will be the same as mine (as long as you do everything correctly) ) The order I choose is:
  1. A cube root. Normally this is not something that would be easy. But since -8+=+%28-2%29%5E3 a cube root first looks easy.
  2. Raise to the 4th power. The cube root in the first step will give us a fairly low number to raise to the fourth power.
  3. A reciprocal. This will introduce a fraction and fractions make things a little more difficult so why not put it off until the end?

Here's the whole problem from the beginning to the end: