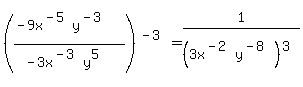
SOLUTION: (-9x^-5y^-3/-3x^-3y^5)^-3
Algebra
->
Exponents
-> SOLUTION: (-9x^-5y^-3/-3x^-3y^5)^-3
Log On
Algebra: Exponents and operations on exponents
Section
Solvers
Solvers
Lessons
Lessons
Answers archive
Answers
Click here to see ALL problems on Exponents
Question 381579
:
(-9x^-5y^-3/-3x^-3y^5)^-3
Answer by
Fombitz(32388)
(
Show Source
):
You can
put this solution on YOUR website!
.
.
.
.
.
.
.
.