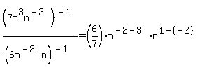
SOLUTION: i need help solving this problem (7m^3n^-2)^-1/ (6m^-2n)^-1
Algebra
->
Exponents
-> SOLUTION: i need help solving this problem (7m^3n^-2)^-1/ (6m^-2n)^-1
Log On
Algebra: Exponents and operations on exponents
Section
Solvers
Solvers
Lessons
Lessons
Answers archive
Answers
Click here to see ALL problems on Exponents
Question 361687
:
i need help solving this problem (7m^3n^-2)^-1/ (6m^-2n)^-1
Answer by
Fombitz(32388)
(
Show Source
):
You can
put this solution on YOUR website!
.
.
.
.
.
.
.
.