SOLUTION: Multiply and simplify 64b^2 / 2b^2-4b+2 *2b-2 / 8b) "type exponential notation with positive exponents" very confused please help

Algebra ->  Exponents -> SOLUTION: Multiply and simplify 64b^2 / 2b^2-4b+2 *2b-2 / 8b) "type exponential notation with positive exponents" very confused please help      Log On


   



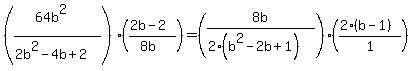
Question 358607: Multiply and simplify
64b^2 / 2b^2-4b+2 *2b-2 / 8b)



"type exponential notation with positive exponents"

very confused please help

Found 2 solutions by Fombitz, ewatrrr:
Answer by Fombitz(32388) About Me  (Show Source):
You can put this solution on YOUR website!
I'm confused too. Please use parentheses.
Here's my guess.



Answer by ewatrrr(24785) About Me  (Show Source):