SOLUTION: Add, simplify if possible z+r/zr^2 + 2z+r/z^2 r
Algebra
->
Exponents
-> SOLUTION: Add, simplify if possible z+r/zr^2 + 2z+r/z^2 r
Log On
Algebra: Exponents and operations on exponents
Section
Solvers
Solvers
Lessons
Lessons
Answers archive
Answers
Click here to see ALL problems on Exponents
Question 346243
:
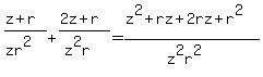
Add, simplify if possible
z+r/zr^2 + 2z+r/z^2 r
Answer by
Fombitz(32388)
(
Show Source
):
You can
put this solution on YOUR website!
Use the common denominator