SOLUTION: add, simplify if possible 7/x-5 + 28/(x-5)^2

Algebra ->  Exponents -> SOLUTION: add, simplify if possible 7/x-5 + 28/(x-5)^2      Log On


   



Question 346242: add, simplify if possible

7/x-5 + 28/(x-5)^2

Answer by Fombitz(32388) About Me  (Show Source):
You can put this solution on YOUR website!
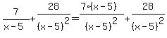
Use the common denominator, %28x-5%29%5E2
7%2F%28x-5%29+%2B+28%2F%28x-5%29%5E2=%287%28x-5%29%29%2F%28x-5%29%5E2+%2B+28%2F%28x-5%29%5E2
7%2F%28x-5%29+%2B+28%2F%28x-5%29%5E2=%287%28x-5%29+%2B+28%29%2F%28x-5%29%5E2
7%2F%28x-5%29+%2B+28%2F%28x-5%29%5E2=%287x-35%2B+28%29%2F%28x-5%29%5E2
7%2F%28x-5%29+%2B+28%2F%28x-5%29%5E2=%287x-7%29%2F%28x-5%29%5E2
7%2F%28x-5%29+%2B+28%2F%28x-5%29%5E2=highlight%28%287%28x-1%29%29%2F%28x-5%29%5E2%29