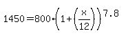
SOLUTION: Please help me solve this equation. {{{1450=800(1+(x/12))to the power of 7.8}}}

Algebra ->  Exponents -> SOLUTION: Please help me solve this equation. {{{1450=800(1+(x/12))to the power of 7.8}}}      Log On


   



Question 28115: Please help me solve this equation.
1450=800%281%2B%28x%2F12%29%29to+the+power+of+7.8

Answer by longjonsilver(2297) About Me  (Show Source):
You can put this solution on YOUR website!
wierd powers...you are looking at logs to help you.

1450=800%281%2B%28x%2F12%29%29%5E%287.8%29+
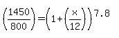
+%281450%2F800%29+=+%281%2B%28x%2F12%29%29%5E%287.8%29+
+log%281450%2F800%29+=+7.8log%281%2B%28x%2F12%29%29+
+%28log%281450%2F800%29%29%2F7.8+=+log%281%2B%28x%2F12%29%29+
+0.033112566+=+log%281%2B%28x%2F12%29%29+
+10%5E%280.033112566%29+=+%281%2B%28x%2F12%29%29+
+1.079226414+=+%281%2B%28x%2F12%29%29+
+%281%2B%28x%2F12%29%29+=+1.079226414+
+x%2F12+=+0.079226414+
+x+=+12%2A0.079226414+
x = 0.950716966

jon.