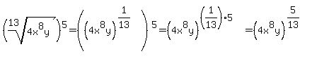
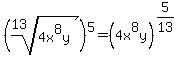
SOLUTION: rewrite with rational exponents: (^13sqrt4x^8y)^5
Algebra
->
Exponents
-> SOLUTION: rewrite with rational exponents: (^13sqrt4x^8y)^5
Log On
Algebra: Exponents and operations on exponents
Section
Solvers
Solvers
Lessons
Lessons
Answers archive
Answers
Click here to see ALL problems on Exponents
Question 273590
:
rewrite with rational exponents:
(^13sqrt4x^8y)^5
Answer by
jim_thompson5910(35256)
(
Show Source
):
You can
put this solution on YOUR website!
So