SOLUTION: Solve algebraically for x: 27^(2x+1) = 94x
I was told you can complete this problem by either using factoring or completing the square? But to complete the square doesn't the equa
Algebra ->
Exponents
-> SOLUTION: Solve algebraically for x: 27^(2x+1) = 94x
I was told you can complete this problem by either using factoring or completing the square? But to complete the square doesn't the equa
Log On
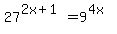
Question 253896: Solve algebraically for x: 27^(2x+1) = 94x
I was told you can complete this problem by either using factoring or completing the square? But to complete the square doesn't the equation need to equal ZERO? Or can you set the problem to equal ZERO? Thank you for your wonderful help. Found 2 solutions by jim_thompson5910, richwmiller:Answer by jim_thompson5910(35256) (Show Source):
You can put this solution on YOUR website! Unfortunately, you can't solve exactly since the variable is both in the exponent and outside the exponent. So you'll have to find the approximate solution.
If on the other hand the problem is , then...
Start with the given equation.
Rewrite 27 as and 9 as
Multiply the exponents.
Multiply
Since the bases are equal, this means that the exponents are equal.
You can put this solution on YOUR website! 27^(2x+1) = 94x
Are you sure you copied this right? This will involve logarithms not factoring nor completing the square.
To answer your question about equaling zero.
No it does NOT have to equal 0.
when you complete the square you just add the amount to both sides.
With any luck the amount not in the square will be a square too.