SOLUTION: My problem is: Write an exponential function whose graph passes through each pair of points for: (20,4), (25,3) I am using the book:Algebra 2 Explorations & Applications by

Algebra ->  Exponents -> SOLUTION: My problem is: Write an exponential function whose graph passes through each pair of points for: (20,4), (25,3) I am using the book:Algebra 2 Explorations & Applications by       Log On


   



Question 253143: My problem is:
Write an exponential function whose graph passes through each pair of points for:
(20,4), (25,3)
I am using the book:Algebra 2 Explorations & Applications by McDougal Littell

Answer by jim_thompson5910(35256) About Me  (Show Source):
You can put this solution on YOUR website!
y=a%2Ab%5Ex Start with the general exponential equation


4=a%2Ab%5E20 Plug in x=20 and y=4 since the point (20,4) lies on the graph.


4%2Fb%5E20=a Divide both sides by b%5E20 to isolate 'a'.


a=4%2Fb%5E20 Rearrange the equation.


y=a%2Ab%5Ex Go back to the general exponential equation


3=a%2Ab%5E25 Plug in x=25 and y=3 since the point (25,3) also lies on the graph.


3=%284%2Fb%5E20%29%2Ab%5E25 Plug in a=4%2Fb%5E20


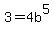
3=%284b%5E25%29%2Fb%5E20 Multiply


3=4b%5E5 Reduce.


3%2F4=b%5E5 Divide both sides by 4.


root%285%2C3%2F4%29=b Take the 5th root of both sides to isolate 'b'.


%283%2F4%29%5E%281%2F5%29%5E%22%22=b Convert to exponential notation.


b=%283%2F4%29%5E%281%2F5%29%5E%22%22 Rearrange the equation.


a=4%2Fb%5E20 Go back to the previously isolated equation.


a=4%2F%28%283%2F4%29%5E%281%2F5%29%29%5E20 Plug in b=%283%2F4%29%5E%281%2F5%29%5E%22%22


a=4%2F%28%283%2F4%29%5E4%29 Multiply and simplify the exponents.


a=1024%2F81 Simplify and reduce.


So the exponential equation that goes through the points (20,4), (25,3) is y=%281024%2F81%29%283%2F4%29%5E%28x%2F5%29