SOLUTION: I was given this problem and told to solve without negative exponents, I am really not sure how to tackle this problem. [x*y^5/x^-4*y^2]^-2

Algebra ->  Exponents -> SOLUTION: I was given this problem and told to solve without negative exponents, I am really not sure how to tackle this problem. [x*y^5/x^-4*y^2]^-2      Log On


   



Question 187307: I was given this problem and told to solve without negative exponents, I am really not sure how to tackle this problem.
[x*y^5/x^-4*y^2]^-2

Answer by josmiceli(19441) About Me  (Show Source):
You can put this solution on YOUR website!

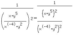
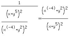
This is because a%5E%28-b%29+=+1%2F%28a%5Eb%29

This is becaue %28a%2Fb%29%5Ec+=+%28a%5Ec%29+%2F+%28b%5Ec%29

This is because 1%2F%28a%2Fb%29+=+b%2Fa


This is because a%5Ec+%2F+b%5Ec+=+%28a%2Fb%29%5Ec

This is because %28a%2Fb%29%2Fc+=+a%2F%28b%2Ac%29
Now divide top & bottom by y%5E2
+%28y%5E2+%2F+%28x%5E4%2Ax%2Ay%5E5%29%29%5E2+=+1%2F%28x%5E5%2Ay%5E3%29%5E2+ answer
-----------------------------------------------------
There is a quick & easy way to test answer
I'll say x+=+3 and y+=+7 (I could use any numbers)
%28+%28x%2Ay%5E5%29+%2F+%28x%5E-4%2Ay%5E2%29+%29%5E-2
%28+%283%2A7%5E5%29+%2F+%283%5E-4%2A7%5E2%29+%29%5E-2+
%28+50421+%2F+.604938+%29%5E-2+
143.9459
and
1%2F%28x%5E5%2Ay%5E3%29%5E2
1%2F%28243%2A343%29%5E2
143.9459
OK