SOLUTION: True or False: The expression (x^-1/x^-10)^7 is the same as 1/x^63. Assume that the denominator is zero. How did you determine your answer?

Algebra ->  Exponents -> SOLUTION: True or False: The expression (x^-1/x^-10)^7 is the same as 1/x^63. Assume that the denominator is zero. How did you determine your answer?      Log On


   



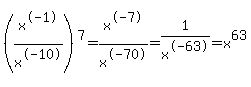
Question 181188: True or False:
The expression (x^-1/x^-10)^7 is the same as 1/x^63. Assume that the denominator is zero.
How did you determine your answer?

Answer by Mathtut(3670) About Me  (Show Source):
You can put this solution on YOUR website!
%28x%5E-1%2Fx%5E-10%29%5E7=x%5E-7%2Fx%5E-70=1%2Fx%5E-63=x%5E63so it is false. x%5E63%3C%3E1%2Fx%5E63
:
I think you meant assume the denominator is NOT zero.