SOLUTION: simplify (x-2y8z)-5 --------- (x-4y9z)-4 Numbers are all exponents

Algebra ->  Exponents -> SOLUTION: simplify (x-2y8z)-5 --------- (x-4y9z)-4 Numbers are all exponents      Log On


   



Question 169632: simplify (x-2y8z)-5
---------
(x-4y9z)-4
Numbers are all exponents

Answer by jim_thompson5910(35256) About Me  (Show Source):
You can put this solution on YOUR website!
Note:

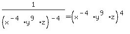
%28x%5E%28-2%29y%5E%288%29z%29%5E%28-5%29=1%2F%28x%5E%28-2%29y%5E%288%29z%29%5E5


and


1%2F%28x%5E%28-4%29y%5E%289%29z%29%5E%28-4%29=%28x%5E%28-4%29y%5E%289%29z%29%5E%284%29


In other words, we just flip the fractions


So

becomes



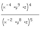
%28%28x%5E%28-4%29y%5E%289%29z%29%5E%284%29%29%2F%28%28x%5E%28-2%29y%5E%288%29z%29%5E5%29


Distribute the exponents.


%28x%5E%28-16%29y%5E%2836%29z%5E%284%29%29%2F%28x%5E%28-10%29y%5E%2840%29z%5E%285%29%29 Multiply the exponents.


x%5E%28-16--10%29y%5E%2836-40%29z%5E%284-5%29 Subtract the exponents


For example, %28x%5E%28-16%29%29%2F%28x%5E%28-10%29%29=x%5E%28-16--10%29


x%5E%28-16%2B10%29y%5E%2836-40%29z%5E%284-5%29 Simplify


x%5E%28-6%29y%5E%28-4%29z%5E%28-1%29 Combine the exponents.


%281%2Fx%5E%286%29%29%281%2Fy%5E%284%29%29%281%2Fz%5E%281%29%29 Flip the variables with negative exponents.


1%2F%28x%5E6y%5E4z%5E1%29 Combine the fractions.


1%2F%28x%5E6y%5E4z%29 Simplify


==============================================

Answer:


So simplifies to 1%2F%28x%5E6y%5E4z%29


In other words, where no variables can be equal to zero.