SOLUTION: Simplify (-6x^2y^4z^9)^2 (----------- ) ( 3x^6y^4z^3)

Algebra ->  Exponents -> SOLUTION: Simplify (-6x^2y^4z^9)^2 (----------- ) ( 3x^6y^4z^3)      Log On


   



Question 141094: Simplify
(-6x^2y^4z^9)^2
(------------)
( 3x^6y^4z^3)

Answer by rapaljer(4671) About Me  (Show Source):
You can put this solution on YOUR website!
Remember, when you raise a power to a power, you must MULTIPLY exponents!!
%28%28-6x%5E2y%5E4z%5E9%29%5E2%29%2F%0D%0A%28+3x%5E6y%5E4z%5E3%29

%2836x%5E4y%5E8z%5E18%29%2F%283x%5E6%2Ay%5E4%2Az%5E3%29



Remember, when you divide with the same base number, you subtract exponents!!
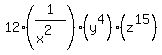
12%2A%281%2F%28x%5E2%29%29%2A%28y%5E4%29+%2A%28z%5E15%29+

Final answer: %2812y%5E4z%5E15%29%2F%28x%5E2%29+

R^2