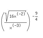
SOLUTION: How would we solve {{{( sqrt( 16x^-2 )/ x^-3 )^(-9/4)}}} in the form {{{ p * x^(m/n)}}} ? Thanks!
Algebra
->
Exponents
-> SOLUTION: How would we solve {{{( sqrt( 16x^-2 )/ x^-3 )^(-9/4)}}} in the form {{{ p * x^(m/n)}}} ? Thanks!
Log On
Algebra: Exponents and operations on exponents
Section
Solvers
Solvers
Lessons
Lessons
Answers archive
Answers
Click here to see ALL problems on Exponents
Question 1157803
:
How would we solve
in the form
?
Thanks!
Found 2 solutions by
Shin123, MathLover1
:
Answer by
Shin123(626)
(
Show Source
):
You can
put this solution on YOUR website!
Answer by
MathLover1(20850)
(
Show Source
):
You can
put this solution on YOUR website!
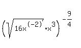
in the form