SOLUTION: "Write in simplest form" (32*7√x^5)^(-1/5) The 7 is the index number

Algebra ->  Exponents -> SOLUTION: "Write in simplest form" (32*7√x^5)^(-1/5) The 7 is the index number       Log On


   



Question 1095542: "Write in simplest form"
(32*7√x^5)^(-1/5)
The 7 is the index number

Answer by greenestamps(13200) About Me  (Show Source):
You can put this solution on YOUR website!

Rewrite the 32 as 2 to the 5th power; and rewrite the 7th root as a fractional power:

%28%282%29%5E5%2A%28x%29%5E%285%2F7%29%29%5E%28-1%2F5%29

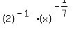
Then use the power-of-a-power rule of exponents:
%282%29%5E%28-1%29%2A%28x%29%5E%28-1%2F7%29

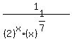
Then if "simplest form" means no negative exponents:
1%2F%28%282%29%5Ex%2A%28x%29%5E%281%2F7%29%29