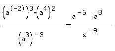
SOLUTION: problem: divide and simplify: (a^-2)^3(a^4)^2 / (a^3)^-3 this^and a number is the exponet please show how you come to your answer.

Algebra ->  Exponents -> SOLUTION: problem: divide and simplify: (a^-2)^3(a^4)^2 / (a^3)^-3 this^and a number is the exponet please show how you come to your answer.      Log On


   



Question 107638: problem: divide and simplify: (a^-2)^3(a^4)^2 / (a^3)^-3 this^and a number is the exponet please show how you come to your answer.
Answer by Fombitz(32388) About Me  (Show Source):
You can put this solution on YOUR website!
Remember the exponent rules
x%5Em%2Ax%5En=x%5E%28m%2Bn%29
x%5Em%2Fx%5En=x%5E%28m-n%29
%28x%5Em%29%5En=x%5E%28m%2An%29
Now for your equation,



%28%28a%5E-2%29%5E3%28a%5E4%29%5E2%29%2F%28a%5E3%29%5E%28-3%29=a%5E11