SOLUTION: Please help me over this If {{{P+3^(1/2)Q+5^(1/2)R+15^(1/2)S=1/(1+3^(1/2)+5^(1/2))}}} then the value of P is?

Algebra ->  Exponents -> SOLUTION: Please help me over this If {{{P+3^(1/2)Q+5^(1/2)R+15^(1/2)S=1/(1+3^(1/2)+5^(1/2))}}} then the value of P is?      Log On


   



Question 1046032: Please help me over this
If then the value of P is?

Answer by robertb(5830) About Me  (Show Source):
You can put this solution on YOUR website!
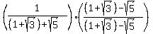
1%2F%28%281%2Bsqrt%283%29%29%2Bsqrt%285%29%29
=
= %281%2Bsqrt%283%29-sqrt%285%29%29%2F%28+%281%2Bsqrt%283%29%29%5E2+-+5%29
=%281%2Bsqrt%283%29-sqrt%285%29%29%2F%28+2sqrt%283%29-1%29
=
= %282sqrt%283%29+%2B1+%2B+6%2Bsqrt%283%29+-2sqrt%2815%29+-sqrt%285%29%29%2F%2812-1%29
=%287+%2B+3sqrt%283%29+-sqrt%285%29+-+2sqrt%2815%29%29%2F11
===> P = 7/11, Q = 3/11, R = -1/11, and S = -2/11.