Question 1045306: I am a little confused over this so please help me solving it
and ab=cd then the value of reduces to?
Answer by KMST(5328) (Show Source):
You can put this solution on YOUR website! The expression will be undefined if one or more of those denominators is zero.
If nothing was specified about the exponents,
we have to consider the case that one (or more) of them is zero:
If , then is undefined.
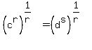
If , then :
Looking at just , we can write
---> ---> ---> .
Since and ,
we can also write and as powers of :
and .
Substituting the expressions found for , , and into , we get to the solution.
--> --> --> --> 
And multiplkying both sides of the last equation above times , we get
.
So, subtracting from both sides, we get
--> --> .
|
|
|