SOLUTION: Yes i have been at this for awhile and cannot figure it out it would mean a lot. Thank you Simplify: (3^-2)^a*(3^b)^-2a/(3^-2)^b*(9^-b)^-3a The books answer is 3^-2a+2b-8ab b

Algebra ->  Exponents -> SOLUTION: Yes i have been at this for awhile and cannot figure it out it would mean a lot. Thank you Simplify: (3^-2)^a*(3^b)^-2a/(3^-2)^b*(9^-b)^-3a The books answer is 3^-2a+2b-8ab b      Log On


   



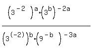
Question 1022126: Yes i have been at this for awhile and cannot figure it out it would mean a lot. Thank you
Simplify: (3^-2)^a*(3^b)^-2a/(3^-2)^b*(9^-b)^-3a
The books answer is 3^-2a+2b-8ab but I don't know how to get there.

Found 2 solutions by josgarithmetic, MathTherapy:
Answer by josgarithmetic(39623) About Me  (Show Source):
You can put this solution on YOUR website!
Is this exactly what you are given?
%283%5E-2%29%5Ea%2A%283%5Eb%29%5E-2a%2F%283%5E-2%29%5Eb%2A%289%5E-b%29%5E-3a---which did not render
(3^-2)^a*(3^b)^-2a/(3^-2)^b*(9^-b)^-3a

If it isn't, then use pure text to make the expression completely clear and someone can help.

Answer by MathTherapy(10555) About Me  (Show Source):
You can put this solution on YOUR website!

Yes i have been at this for awhile and cannot figure it out it would mean a lot. Thank you
Simplify: (3^-2)^a*(3^b)^-2a/(3^-2)^b*(9^-b)^-3a
The books answer is 3^-2a+2b-8ab but I don't know how to get there.




%283%5E%28-2a+-+2ab%29%29%2F%283%5E%28-+2b+%2B+6ab%29%29_________3%5E%28-2a+-+2ab+-+%28-+2b+%2B+6ab%29%29________3%5E%28-2a+-+2ab+%2B+2b+-+6ab%29________highlight%28highlight_green%28highlight%283%5E%28-2a+%2B+2b+-+8ab%29%29%29%29%29