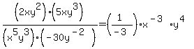
SOLUTION: What is 2xy^2/x^5y^3 * 5xy^3/-30y-2
Algebra
->
Exponents
-> SOLUTION: What is 2xy^2/x^5y^3 * 5xy^3/-30y-2
Log On
Algebra: Exponents and operations on exponents
Section
Solvers
Solvers
Lessons
Lessons
Answers archive
Answers
Click here to see ALL problems on Exponents
Question 1018016
:
What is 2xy^2/x^5y^3 * 5xy^3/-30y-2
Answer by
Fombitz(32388)
(
Show Source
):
You can
put this solution on YOUR website!