SOLUTION: 1. 10^-31+10^-2+10^1+10^0+10^-1+10^-2 2.10^-3+25^1/2-1/3*4^1/4+27^0 please solve it for me.

Algebra ->  Exponents-negative-and-fractional -> SOLUTION: 1. 10^-31+10^-2+10^1+10^0+10^-1+10^-2 2.10^-3+25^1/2-1/3*4^1/4+27^0 please solve it for me.       Log On


   



Question 936187: 1. 10^-31+10^-2+10^1+10^0+10^-1+10^-2
2.10^-3+25^1/2-1/3*4^1/4+27^0
please solve it for me.

Answer by MathLover1(20850) About Me  (Show Source):
You can put this solution on YOUR website!
1.
10%5E-31%2B10%5E-2%2B10%5E1%2B10%5E0%2B10%5E-1%2B10%5E-2+.....I guess this 10%5E-31 should be 10%5E-3+because -31 is to high exponent compared to all others

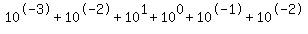
10%5E-3%2B10%5E-2%2B10%5E1%2B10%5E0%2B10%5E-1%2B10%5E-2+

1%2F10%5E3%2B1%2F10%5E2%2B10%2B1%2B1%2F10%2B1%2F10%5E2

1%2F1000%2B1%2F100%2B11%2B1%2F10%2B1%2F100

1%2F1000%2B2%2F100%2B11%2B1%2F10

1%2F1000%2B20%2F1000%2B11%2B100%2F1000

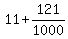
11%2B121%2F1000

11%2B0.121

11.121

2.
10%5E-3%2B25%5E1%2F2-%281%2F3%29%2A4%5E%281%2F4%29%2B27%5E0+

1%2F10%5E3%2Bsqrt%2825%29-%281%2F3%29%2Aroot%284%2C4%29%2B1

1%2F1000%2B5-0.33%2A1.41%2B1

0.001%2B5-0.4653%2B1

6.001-0.4653

5.5357