SOLUTION: What does (6a ^ 2 )(6a ^ -4) equal using only positive exponents
Algebra
->
Exponents-negative-and-fractional
-> SOLUTION: What does (6a ^ 2 )(6a ^ -4) equal using only positive exponents
Log On
Algebra: Negative and Fractional exponents
Section
Solvers
Solvers
Lessons
Lessons
Answers archive
Answers
Click here to see ALL problems on Exponents-negative-and-fractional
Question 901927
:
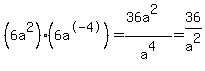
What does (6a ^ 2 )(6a ^ -4) equal using only positive exponents
Answer by
tommyt3rd(5050)
(
Show Source
):
You can
put this solution on YOUR website!