Question 8863: I'm so lost on this one. I do remember the order of operations, however this is a very complex formula, I hope I type it well enough or it'll get a completely different meaning and answer. Here goes:

Looks like it came through correctly, please help...
Answer by rapaljer(4671) (Show Source):
You can put this solution on YOUR website! This is SO INTIMIDATING!! It probably is really easy if you dare to look at it.
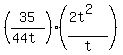
First, simplify the numerator at the very top: 3*8 is 24, and add 11, which is 35.
Second, in the middle, go ahead and multiply the (2t)*(3*8) which is 2t*24 or 48t. Then simplify the fraction that follows, which is and simplifies to 4t. This combines with the 48t, so 48t - 4t = 44t.
Third, the denominator at the bottom likewise simplifies, with the 3 and -3 subtracting out, to .
The net result is this: divided by
Invert and multiply:
As you can see the t's all divide out, the 2 divides out, and you are left with .
R^2 at SCC
P.S. Congratulations on writing that equation in an algebra.com formatted equation!! You must be a math teacher???
|
|
|