SOLUTION: What is -7 to the -4th power? Please explain how to solve this; I am completely confused. Thank you!
Algebra
->
Exponents-negative-and-fractional
-> SOLUTION: What is -7 to the -4th power? Please explain how to solve this; I am completely confused. Thank you!
Log On
Algebra: Negative and Fractional exponents
Section
Solvers
Solvers
Lessons
Lessons
Answers archive
Answers
Click here to see ALL problems on Exponents-negative-and-fractional
Question 878113
:
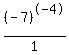
What is -7 to the -4th power? Please explain how to solve this; I am completely confused. Thank you!
Answer by
Alan3354(69443)
(
Show Source
):
You can
put this solution on YOUR website!
=
---
Multiply NUM and DEN by (-7)^4
=
=
=
= 1/2401
===================
I lost a minus sign along the way, but since it's an even power, it has no effect.