SOLUTION: Factorizar como se resuelve en tema de factorizacion la expresión y^4(y+2)^3+y^5(y+2)^4 Espero su pronta respuesta. Gracias Ademas quisiera saber como se resuelve (1+1/x)^2

Algebra ->  Exponents-negative-and-fractional -> SOLUTION: Factorizar como se resuelve en tema de factorizacion la expresión y^4(y+2)^3+y^5(y+2)^4 Espero su pronta respuesta. Gracias Ademas quisiera saber como se resuelve (1+1/x)^2      Log On


   



Question 867094: Factorizar
como se resuelve en tema de factorizacion la expresión
y^4(y+2)^3+y^5(y+2)^4
Espero su pronta respuesta. Gracias
Ademas quisiera saber como se resuelve (1+1/x)^2-(1-1/x)^2
Agradezco a quien me pueda ayudar

Answer by josgarithmetic(39620) About Me  (Show Source):
You can put this solution on YOUR website!
El sumen de dos espresiones, y%5E4%28y%2B2%29%5E3%2By%5E5%28y%2B2%29%5E4.
Cada espresion contiene factor de y , y+2.

Vea el reverso de Propiedad(?) Distributivo.
y%5E4%2A%28y%2B2%29%5E3%281%2By%28y%2B2%29%29
Y simplificar,
y%5E4%2A%28y%2B2%29%5E3%281%2By%5E2%2B2y%29
Aquel quadratico es factorizable.
y%5E4%28y%2B2%29%5E3%28y%2B1%29%28y%2B1%29
highlight%28y%5E4%2A%28y%2B2%29%5E3%28y%2B1%29%5E2%29

EL ADEMAS:
Quisiera factorizar %281%2B1%2Fx%29%5E2-%281-1%2Fx%29%5E2 ?
Tal vez al principio, simplifica.
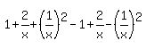
1%2B%282%2Fx%29%2B1%2Fx%5E2-%281-2%2Fx%2B1%2Fx%5E2%29
1%2B2%2Fx%2B%281%2Fx%29%5E2-1%2B2%2Fx-%281%2Fx%29%5E2
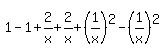
1-1%2B2%2Fx%2B2%2Fx%2B%281%2Fx%29%5E2-%281%2Fx%29%5E2
0%2B4%2Fx%2B0
highlight%284%2Fx%29
No factorizar. Solo simplificar.


( Propiedad? Caracteristico, caracteristica, dominio, ... no se' por cierto la palabra )